人們對食物的感官感知是一個動態過程,感知到的感官屬性會隨著食物在口腔中的變化而改變。由于感官感知具有時間依賴性,靜態感官評價方法難以捕捉感官屬性隨時間的動態變化規律,而動態感官評價方法則能夠有效記錄感官屬性的動態變化過程。目前常用的動態感官表征方法主要包括時間-強度法(timeintensity,Tl)、暫時性感官支配法(temporal dominance of sensations,TDS)、動態適合項勾選法 (temporal check-all-that-apply,T-CATA)等。
本研究擬通過大數據技術收集電商平臺上的消費者評論并進行文本分析,建立豬肉紙產品的感官描述詞表。隨后,結合專業感官評價小組的評估結果,采用M值法、主成分分析(principal component analysis,PCA)和皮爾遜(Pearson)相關性分析選出關鍵感官屬性描述詞。最后,采用TDS分析豬肉紙產品從入口到吞咽過程中的感官屬性動態變化,挖掘出產品的關鍵感官屬性,為產品開發及品質提升提出科學依據,為產品感官評價方法提供新思路
01
01材料與試劑
5種市售豬肉紙產品,分別記為WF(江蘇王福記)、DL(福建多倫多)、ZR(福建自然派)、XZ(福建小豬找肉)、MZ(福建閔之味);原味蘇打餅干億滋食品(北京)有限公司;純凈水杭州娃哈哈集團有限公司。
感官評價與消費者測試軟件(App Sense)北京盈華利科技有限公司。
02TDS實驗
參考何英霞的方法并稍作修改。在標準感官評價實驗室的白光條件下,評價員需提前1h禁食,嚴格遵循品嘗程序,在固定時間(上午9:30-11:30)進行單口TDS評估。將5種豬肉紙樣品去除包裝后置于托盤上的標準感官杯中,按拉丁方設計隨機排列并呈遞15名評價員。每位評價員對每種產品進行3次獨立實驗,共計45次實驗。
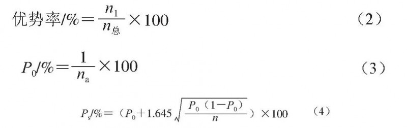
TDS評估流程:點擊TDS實驗頁面進入3s倒計時的準備階段,點擊“開始實驗”的同時將樣品放入口中,同時也開始選擇品嘗過程中占主導地位的感官屬性詞。在感知不到屬性變化時,評價員可不再點擊頁面。最大評估時間設置為60 s,此時評價員可點擊“結束按鈕。每隔1s記錄一次數據、采用App Sense軟件進行數據采集和處理。根據感官評價員的記錄,計算每個時間點選擇某一描述詞作為優勢屬性的感官評價員的占比,即為豬肉紙樣品感官屬性在每個時間點的優勢率,按式(2)計算。以時間為橫坐標,以屬性優勢率為縱坐標,繪制TDS曲線。為更好地解釋TDS結果,在曲線上設置2條參考線,其中一條為偶然性水平線,代表屬性偶然獲得的優勢率,其值(Pa)按式(3)計算。若TDS曲線位于此線以下,表明該屬性不具備顯著的感官優勢;另一條為顯著性水平線,當TDS曲線超過此線時,表示該屬性顯著強于其他屬性,為主要感官屬性,其值(P、)可使用基于正態近似的二項分布的置信區間計算(建議n Pa1-Po)>5),見式(4)。評估過程中,評價員不必選擇列表中的所有屬性,可多次選擇同一屬性,也可不選擇某一屬性作為主導屬性。式中:n為某一時刻選擇某一描述詞為優勢屬性的感官評價員數量,n點為感官評價員總數量n。為屬性個數;n為評價次數(評價員人數x重復次數);1.645為對應單側5%顯著性水平的正態分布Z值。

02
01豬肉紙感官描述詞的初步確定
盡管大數據可以提供大量的消費者反饋信息,但這些信息往往缺乏詳細的感官描述和定量化的評價。而感官評價則可通過訓練有素的專業感官評價員進行充分的感官分析,包括外觀、氣味、滋味、色澤等方面的定量評價。這些評價結果可為大數據分析提供更具體、更準確的數據支持,從而更好地理解消費者的需求和偏好。此外,大數據篩選感官描述詞法缺乏專門將享樂主義詞和生產相關的詞從描述詞中分離出來的能力,并且難以獲得穩定的描述詞,也缺乏區分語義相近詞(即近義詞)的能力。以大數據獲得的感官描述詞為基礎,通過品嘗5種市售豬肉紙產品,對描述詞進行刪減、匯總和替代處理。感官評價小組每次商討1h、共商討4次、初步確定35個感官描述詞,如表2所示。

TDS可以表征食物從入口到吞咽整個過程中的主導屬性(質地、氣味、滋味等)動態變化。如圖3所示,5種豬肉紙樣品的主導感官屬性隨時間變化而異。“易碎的”“咸的”“酥脆”和“殘渣感”是5種豬肉紙樣品共有的感官屬性,且出現順序均依次為“易碎的”“酥脆““咸的”“殘渣感”。由圖3a~d可知,WF、MZ、XZ和ZR這4種豬肉紙樣品的TDS曲線相似,這可能是因為它們的配方或生產工藝相近。“咸的”這一感官屬性出現在8~20 s,其最大主導屬性優勢率分別為34%、42%、39%和38%。在吞咽后期,所有豬肉紙樣品均以“殘渣感”為主導屬性。此外,感官小組成員一致認為在食用過程中幾乎感受不到“鮮甜味”,這可能是由味的消殺作用(又稱拮抗作用,一種呈味物質能夠減弱另外一種呈味物質味覺強度的現象)所致,“咸的”所帶來的刺激感覆蓋了“鮮甜味”。研究[33]表明,一些風味屬性的刺激感和灼燒感不僅能影響主導感官屬性,還可能掩蓋其他感官屬性。研究[34]表明,由于酸度和苦味的對稱抑制作用,紹興黃酒樣品均以酸味為主導屬性,從入口一直持續到35~40 s,在此過程中,苦味的主導優勢逐漸增加。相較于其他豬肉紙樣品,MZ樣品的“咸味”感知更強,其主導屬性優勢率為42%,說明MZ樣品較其他4種市售豬肉紙更咸。與其他豬肉紙樣品不同的是,XZ樣品在10 s出現“香醇”的主導屬性,其最大主導屬性優勢率為35%。由圖3e可知,對于DL來說,在4 s出現“香辛料香”味,其最大主導屬性優勢率為40%。相較于其他樣品,DL樣品的“殘渣感”持續時間短,最大主導屬性優勢率小(22%),說明該產品在質地的細膩度或吞咽體驗上可能具有優勢。相反、ZR樣品的“酥脆”感持續時間最長,可能比其他樣品更酥脆。酥脆感與產品的水分含量、質地結構等有關,水分含量低的產品往往具有良好的酥脆感,此外,結構疏松、薄、剛性大、韌性差的食品同樣具有較好的酥脆性。


本研究圍繞豬肉紙產品的感官特性和關鍵感官屬性開展研究,通過網絡爬蟲獲取豬肉紙的外觀、色澤、氣味、滋味、質地5個方面的感官屬性描述詞。“脆的”“酥脆”"香脆”“咸的”“薄脆”“薄的”“香味”在消費者對豬肉紙類產品的感官評價中發揮著重要作用。結合專業感官評價,采用M值法、PCA、Pearson相關性分析確定了豬肉紙產品的感官描述詞:“易碎的”“黃褐色”“咸的”“酥脆”“香辛料香”“鮮甜味”“殘渣感”“香醇”嘎吱感”。TDS分析結果表明,“易碎的”“咸的”“酥脆”和“殘渣感”是5種豬肉紙樣品共有的感官屬性,而“香醇”和“香辛料香”分別是XZ和DL區別于其他豬肉紙產品的2種主導屬性,此外DL的“殘渣感”相比于其他產品持續時間短,最大主導屬性優勢率小。值得注意是,盡管“鮮甜味”被納入TDS屬性列表,但在所有樣品的食用過程中均未觀察到其占據主導地位(優勢率未超過顯著性水平線)。這表明在實際食用情境下,“鮮甜味”可能被強烈的“咸的”或其他滋味屬性所掩蓋(拮抗作用),其作為獨立主導屬性的感知較弱。
綜上,本研究成功融合了大數據挖掘、專業感官評價和TDS 3種方法,構建了一套完整、高效的食品感官特性研究框架,為其他休閑肉制品乃至復雜食品體系的感官研究提供了有益借鑒。明確的主導屬性(如“酥脆”“咸的”)和品牌差異點(如“香醇”“香辛料香“殘渣感”)為豬肉紙的產品定位、配方優化、工藝改進及差異化競爭策略提供了科學依據。未來需要進一步比較最優產品與市售產品在揮發性香氣成分上的差異,探討風味物質與樣品感官屬性之間的關系;擴大樣本范圍,探究品牌、產地及口味之間的感官屬性差異,以更全面地描繪市場全景。

